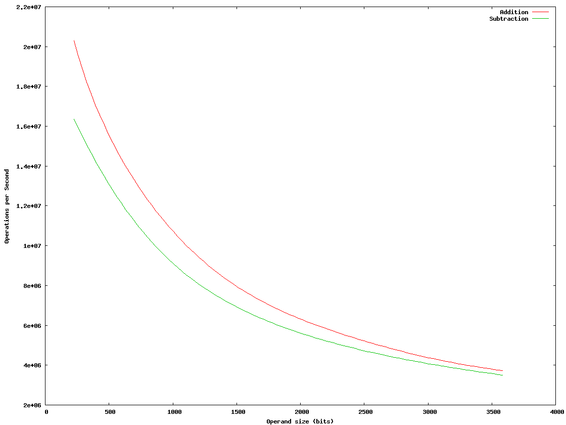
Addition and Subtraction


Multipliers


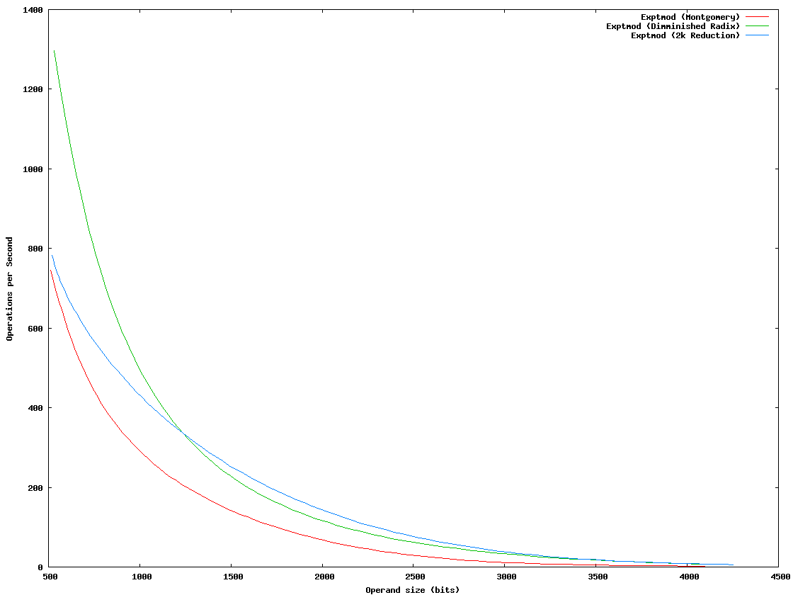
Exptmod


Modular Inverse