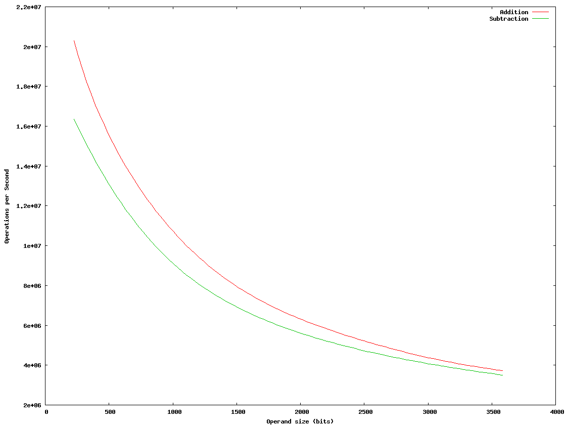
Addition and Subtraction


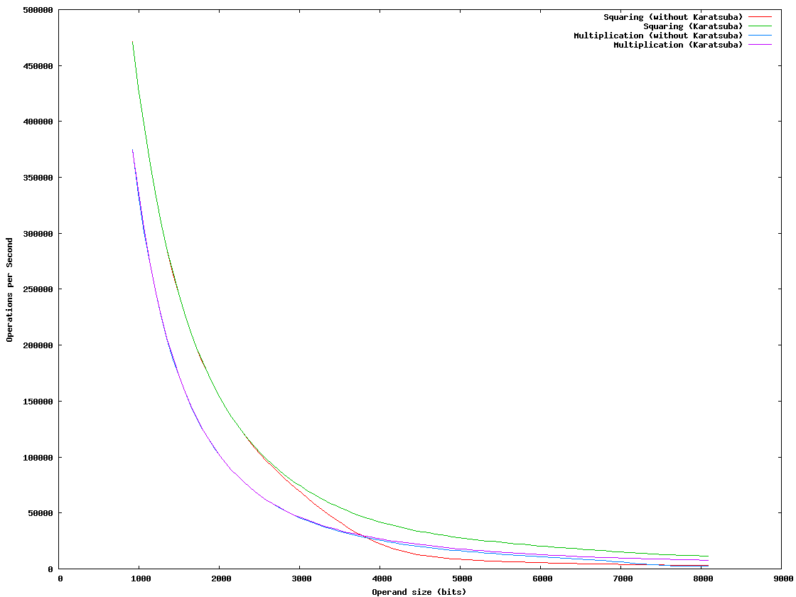
Multipliers


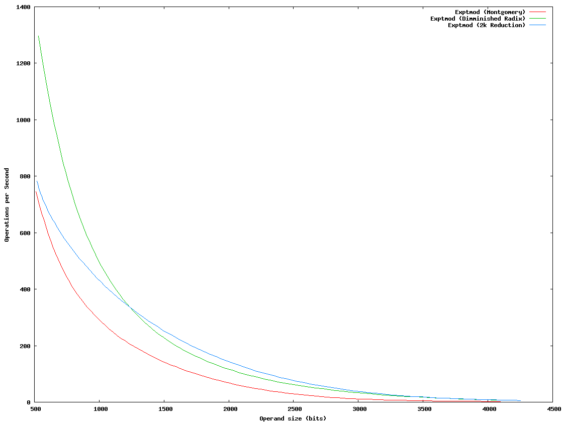
Exptmod


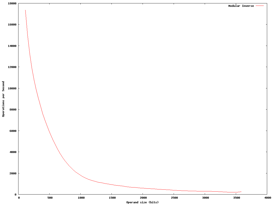
Modular Inverse


/* $Source: /cvs/libtom/libtommath/logs/index.html,v $ */ /* $Revision: 1.2 $ */ /* $Date: 2005/05/05 14:38:47 $ */